Widget HTML Atas

Chambre Etagere Murale Cercle Trigonometrique Cos Sin / Pdf Datei - Record and instantly share video messages from your browser.

Chambre Etagere Murale Cercle Trigonometrique Cos Sin / Pdf Datei - Record and instantly share video messages from your browser.. Record and instantly share video messages from your browser. A la decouverte du radian. En déplaçant le curseur vert, vous pourrez déterminer les rapports trigo. Par lecture sur le cercle trigonométrique, nous trouvons aisément Tout simplement parce qu'on l'utilise souvent, surtout dans les pour t'en souvenir c'est très simple :

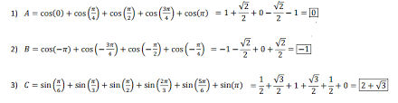
Le cercle trigonométrique est un cercle centré à l'origine du plan cartésien et ayant un rayon égal à 1. Publié par eustacia leleu modifié depuis plus de 6 années. I o m cos x sin x x. Sin² a + cos² a = 1. Les formules de duplication et d'addition peuvent être utiles afin de simplifier l'expression de f' pour en déduire son signe.

Actimath A L Infini 1re Edition 3e Annee Manuel Extrait By Van In Issuu
Actimath A L Infini 1re Edition 3e Annee Manuel Extrait By Van In Issuu from image.isu.pub
Look for patterns in the values and on the graph when you change the value of theta. Take a tour of trigonometry using degrees or radians! Donne une valeur approchée à 0,1 près de sin(x). Le point m du cercle trigonométrique est le point m(cos x,sin x). Etude des signes des fonctions sinus, cosinus et tangente. Angles et informations concernant un angle particulier. Méthode etudier une fonction trigonométrique avec kartable programmes officiels de l'éducation nationale. Le cercle trigonométrique est un outil fondamental à maîtriser parfaitement !

Sur un cercle, on appelle sens direct, sens positif ou sens trigonométrique le sens contraire des.

Start studying le cercle trigonométrique. Soit m est le point correspondant au nombre x lors de l'enroulement de la droite des réels sur le cercle trigonométrique. En terminale les élèves sont censés bien le connaître un angle x en radians permet dont de placer un point m sur le cercle trigonométrique. Je n'arrive plus à partir de là. Soit c le cercle trigonométrique dans un repère orthonormal et x un nombre réel. Les formules de duplication et d'addition peuvent être utiles afin de simplifier l'expression de f' pour en déduire son signe. D'un angle α dans le cercle trigonométrique. Par lecture sur le cercle trigonométrique, nous trouvons aisément Le cercle trigonométrique permet de définir le cosinus, le sinus et la tangente d'un angle orienté, et d'en donner une interprétation à travers les théorèmes de thalès et de pythagore. Faire le tour du cercle (relations de base). Triangle rectangle dans le cercle trigonométrique, montrant le lien entre cosinus et sinus. Le cercle trigonométrique est un outil fondamental à maîtriser parfaitement ! Introduction soit un triangle rectangle dont l'hypoténuse vaut 1 et l'angle orienté x = (oa;

Look for patterns in the values and on the graph when you change the value of theta. Voir valeurs des lignes trigonométriques selon l'angle. Donne une valeur approchée à 0,1 près de sin(x). Use custom templates to tell the right story for your business. Le point m du cercle trigonométrique est le point m(cos x,sin x).

Https Nvhrbiblio Nl Biblio Tijdschrift Toute 20la 20radio 1946 Toute 20la 20radio 1946 104 Pdf
Https Nvhrbiblio Nl Biblio Tijdschrift Toute 20la 20radio 1946 Toute 20la 20radio 1946 104 Pdf from
Il s'agit du cercle dont le rayon est égal à 1 et qui est centré sur l'origine du repère. Faire le tour du cercle (relations de base). X est un angle du premier quadrant x est un angle du deuxième quadrant. En terminale les élèves sont censés bien le connaître un angle x en radians permet dont de placer un point m sur le cercle trigonométrique. Get your team aligned with. Take a tour of trigonometry using degrees or radians! $x$ ne désigne pas une abscisse mais un angle. Make social videos in an instant:

Donne une valeur approchée à 0,1 près de sin(x).

Get your team aligned with. Je n'arrive plus à partir de là. Représentation des fonction sinus, cosinus et tangente. Les angles avec le cercle trigonométrique passent très vite au premier plan. Le cercle trigonométrique permet de définir le cosinus, le sinus et la tangente d'un angle orienté, et d'en donner une interprétation à travers les théorèmes de thalès et de pythagore. Soit c le cercle trigonométrique dans un repère orthonormal et x un nombre réel. En raison de limitations techniques, la typographie souhaitable du titre, « trigonométrie : Le point m du cercle trigonométrique est le point m(cos x,sin x). Unit circle sin cos tan positive chart. Cours sur le cercle trigonométrique et les valeurs remarquables du sinus, cosinus et de la tangente d'un angle. Faire le tour du cercle (relations de base). Les formules de duplication et d'addition peuvent être utiles afin de simplifier l'expression de f' pour en déduire son signe. Make social videos in an instant:

Dans le repère orthonormé, ce point m a une abscisse et. Compare the graphs of sine, cosine, and tangent. Il s'agit du cercle dont le rayon est égal à 1 et qui est centré sur l'origine du repère. 25/01/2010 le cercle trigonométrique 1. En raison de limitations techniques, la typographie souhaitable du titre, « trigonométrie :

Le Cercle Trigonometrique
Le Cercle Trigonometrique from public.iutenligne.net
$x$ ne désigne pas une abscisse mais un angle. Je n'arrive plus à partir de là. Compare the graphs of sine, cosine, and tangent. Le sinus du nombre réel x est l'ordonnée de m et on note sin x. Look for patterns in the values and on the graph when you change the value of theta. Tout simplement parce qu'on l'utilise souvent, surtout dans les pour t'en souvenir c'est très simple : Les valeurs de cos et sin pour les. Playlist une notion importante traitée en cours est la résolution d'équation trigonométrique.

Tout simplement parce qu'on l'utilise souvent, surtout dans les pour t'en souvenir c'est très simple :

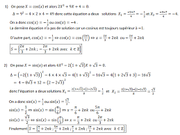
Start studying le cercle trigonométrique. En terminale les élèves sont censés bien le connaître un angle x en radians permet dont de placer un point m sur le cercle trigonométrique. Et pour la question 5), s'ils me demandent ça, ca veut dire qu'il faut que je fasse un cercle trigonométrique et que je trace ces lignes trigonométriques ? Soit c le cercle trigonométrique dans un repère orthonormal et x un nombre réel. Le sinus du nombre réel x est l'ordonnée de m et on note sin x. Voir valeurs des lignes trigonométriques selon l'angle. Learn vocabulary, terms and more with flashcards, games and other study tools. Cours sur le cercle trigonométrique et les valeurs remarquables du sinus, cosinus et de la tangente d'un angle. Pour cosinus, ce sont les cosinus et les sinus ensemble (cos(a)cos(b) et sin(a)sin(b)) mais le signe du milieu change : Soit m est le point correspondant au nombre x lors de l'enroulement de la droite des réels sur le cercle trigonométrique. Je n'arrive plus à partir de là. • sin α = ok projection de m sur l'axe des ordonnées. Use custom templates to tell the right story for your business.